目前世界上41种主要传染病中,经空气传播的有14种,占各种传播疾病的首位。病原微生物主要吸附在空气中不同粒径的尘埃粒子上,以气溶胶的方式悬浮于空气中,通过呼吸道进入人体, 造成疾病的传播。
空气消毒相关法规

数据表明呼吸道传染病一旦暴发将引发严重后果。空气消毒是预防控制传染源,防止交叉感染的重要措施。目前,空气消毒技术主要分为物理消毒法、化学消毒法,而其中化学消毒法较为常用。
“GB/T36758-2018含氯消毒剂卫生要求”中明确指出了次氯酸水可用于空气消毒,具体如下:

一般含氯消毒剂适用于医疗卫生机构、公共场所和家庭的一般物体表面、医疗器械、医疗废物、食饮具、织物和水等的消毒,也适用于疫源地各种污染物的处理,不宜用于室内空气、手、皮肤和黏膜的消毒。
次氯酸消毒剂除上述用途外,还可用于空气、二次供水设备设施表面、手、皮肤和黏膜的消毒。
然而,考虑到吸入安全性问题,各类空气消毒法规都明确规定:采用化学消毒剂消毒时,不应在有人员在空间和空气中进行。
次氯酸作为含氯消毒剂的一种,和传统消毒剂相比具有更高的安全性,那么次氯酸在有人状态下进行空气消毒是否安全呢?
次氯酸吸入安全性最新研究

2022年10月13日,意大利费拉拉大学的Benedusi等在《国际环境研究与公共卫生杂志》上发表了他们的最新研究成果,研究者评估了300ppm次氯酸水雾化对皮肤组织和呼吸组织的毒性。具体研究结果如下:
次氯酸雾化不影响表皮和上呼吸道组织的生存能力
如图1 A-D(左图)所示,暴露于300ppm的HOCl雾化环境中24小时后,乳酸脱氢酶(LDH)分泌均未增加,表明该剂量不会影响质膜结构。MTT试验(图1 E-H,右图)也证实了表皮和上呼吸道组织暴露于HOCI雾化环境中24小时的安全性。
MTT试验:一种检测细胞存活和生长的方法。

图1 HOCL雾化对表皮和上呼吸道组织的影响
次氯酸雾化不会改变皮肤和上呼吸道三维组织的屏障完整性和形态
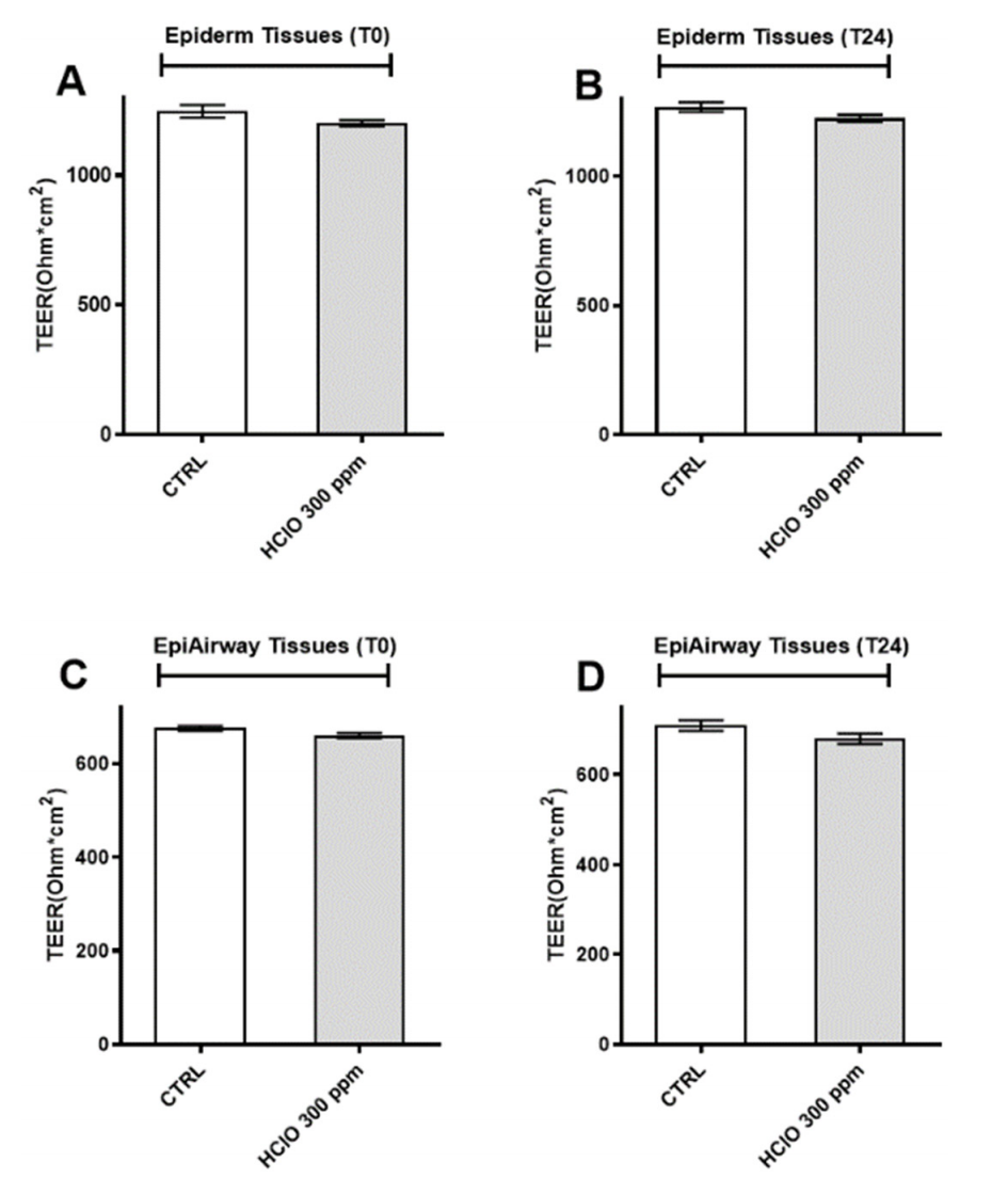
为了研究次氯酸雾化对所选组织屏障完整性的影响,研究者在雾化后的第0和24小时测量了TEER值。如图2所示,对于表皮(A,B)和上呼吸道(C,D)组织,次氯酸暴露后TEER值没有变化,说明所选剂量不影响组织屏障的完整性。

图2 次氯酸雾化对表皮和上呼吸道屏障功能的影响
(TEER:单层细胞跨膜电阻值)
接下来,研究者评价了次氯酸雾化对组织形态的影响。如图3所示,在分析的任何时间点上,两种组织模型,表皮(图3A)和上气道组织(图3B)中都没有观察到任何形态学变化。

图3 300ppm HOCl雾化后0小时或24小时后,表皮(A)和上呼吸道(B)组织形态学评价(放大倍数40x)
即使是上呼吸道组织(图3B),在暴露于300ppm 的HOCl雾化环境24小时后,3D模型仍保持了呼吸组织的典型结构,其顶端表面和粘液纤毛上皮与对照组织无明显差异。
最后,为了更好地阐明HOCl雾化对人体组织的可能产生的影响,在暴露于300ppm的HOCl雾化空间中,通过透射电子显微镜(TEM)对表皮和上呼吸道组织进行了超微结构分析。
研究表明:暴露于空气中的表皮组织的形态学方面没有显示出任何结构变化,无论是在深层还是在浅层角质层,在暴露后24小时内,都呈现出均匀致密的结构(如图4所示)。

图4 透射电镜下表皮和上呼吸道组织学形态
总 结

综上所述,300ppm的次氯酸雾化不影响表皮和上呼吸道组织的生存能力,且不会改变皮肤和上呼吸道三维组织的屏障完整性和形态。该研究进一步证明了次氯酸的吸入安全性,不过想要真正从法规层面突破次氯酸在有人状态下进行空气消毒方面的限制,还需要更多的研究数据支持!
文章引自公众号《电解水技术频道》
如有侵权,请联系删除

